一級建造師答題卡一級建造師答案交流
2021年一級建造師《管理》考后真題答案分享,來考網對于參加2021年一級建造師考試的考生來說,最關注的莫過于自己的考試成績了。為了方便各位考生及時了解自己的考試情況,做好下一步的學習計劃安排,來考網第一時間為大家整理了考試科目《管理》的真題答案解析,僅供大家參考。
2021年一級建造師《建設工程項目管理》考試真題及答案1、安全生產管理預警體系運行中,“找出諸多致災因素中危險性最高、危險程度最嚴重的主要因素,并對其成因進行分析”屬于()環節的工作。
A、診斷
B、監測
C、識別
D、評價
【答案】A
2、在進度控制中,缺乏動態控制觀念的表現是()
A、同一項目不同進度計劃之間的關聯性不夠
B、不重視進度計劃的比選
C、不重視進度計劃的調整
D、不注意分析影響進度的風險
【答案】C
3、關于固定單價合同的說法,正確的是()。
A、當通貨膨脹達到一定水平時,可對單價進行調整
B、當國家政策發生變化時,可對單價進行調整
C、當實際工程量發生較大變化時,可對單價進行調整
D、無論發生哪些影響價格的因素都不對單價進行調整
【答案】D
4、某分項工程某月計劃工程量為3200m2,計劃單價為15元/m2。月末核定實際完成工程量為2800m2,實際單價為20元/m2。則該分項工程的已完工作預算費用(BCWP)是()元。
A、48000
B、42000
C、56000
D、64000
【答案】B
5、與單價合同相比較,總價合同的特點是()A、發包人的協調工作量大
B、發包人可以縮短招標準備時間
C、承包人的風險較小
D、在施工進度上能調動承包人的積極性
【答案】D
6、在領取施工許可證或者開工報告前,按照國家有關規辦理工程質量監督手續的是()。
A、設計方
B、業主方
C、施工方
D、監理方
【答案】B
7、根據安全生產教育培訓制度,新上崗的施工企業從業人員,崗前培訓時間的最少學時是()學時。
A、12
B、36
C、48
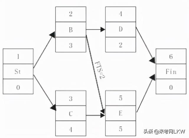
D、24
【答案】D
8、在工程項目質量監督的“雙隨機、一公開方法中,“雙隨機”是指()。
A、隨機確定檢查時間、隨機抽取檢查對象
B、隨機選派監督檢查人員、隨機確定檢查時間
C、隨機抽取檢查對象、隨機選派監督檢查人員
D、隨機選派監督檢查人員、隨機確定抽檢部位
【答案】C
9、施工質量事故的調查處理程序包括:①事故調查②事故原因分析③事故處理④事故處理的鑒定驗收⑤制定事故處理的技術方案。正確的程序是()。
A、1-2-3-4-5
B、2-1-3-4-5
C、4-2-5-1-3
D、1-2-5-3-4
【答案】D
10、下列合同實施偏差的調整措施中,屬于組織措施的是()。
A、變更技術方案
B、調整工作流程
C、增加投入
D、簽訂附加協議
【答案】B
11、關于施工預算和施工圖預算的說法,正確的是()。
A、施工預算的編制以預算定額為主要依據
B、施工圖預算的編制以施工定額為主要依據
C、施工圖預算只適用于建設單位,而不適用于施工單位
D、施工預算是施工企業內部管理用的一種文件,與建設單位無直接關系
【答案】D
12、某承包單位在施工中有針對性地制定和落實施工質量保證措施來降低質量事故發生概率,這一行為屬于質量風險應對的()策略。
A、減輕
B、規避
C、轉移
D、自留
【答案】A13、繪制時間-成本累積曲線的步驟中,緊接計算規定時間t計劃累計支出的成本額“之后的工作是()。
A、在時標網絡圖上,按時間編制成本支出計劃
B、確定工程項目進度計劃,編制進度計劃的橫道圖
C、繪制S形曲線
D、計算單位時間的成本
【答案】C
14、某施工單位于2020年6月為訂立某項目建造合同共發生差旅費、投標費50萬元,該項目于2021年6月完成,工程完工時共發生人工費700萬元,差旅費5萬元,項目管理人員工資98萬元,材料采購及保管費15萬元。根據《財政部關于印發<企業產品成本核算制度(試行)》的通知》,應計入直接費用的是()萬元。
A、770
B、765
C、798
D、813
【答案】B
15、根據工傷保險和社會保險相關法律規定,由建筑施工企業自主決定是否投保的險種是()。
A、意外傷害保險
B、養老保險
C、醫療保險
D、失業保險
【答案】A
16、下列工程總承包合同義務中,屬于承包人義務的是()。
A、辦理施工許可證
B、負責組織設計階段審查會議,并承擔會議費用C、提供與施工有關的現場障礙資料
D、按照行業工程建設標準規范規定的設計深度開展工程設計
【答案】D
17、某工作有兩個緊前工作,最早完成時間分別是第2天和第4天,該工作持續時間是5天,則其最早完成時間是第()天。
A、9
B、6
C、7
D、11
【答案】A
18、下列分部分項工程中,應當組織專家論證、審查專項施工方案的是()。
A、起重吊裝工程
B、拆除工程
C、爆炸工程
D、地下暗挖工程
【答案】D19、關于網絡計劃中節點的說法正確的是()。
A、節點內可以用工作名稱代替編號
B、節點在網絡計劃中只表示事件,即前后工作的交接點
C、所有節點均既有向內又有向外的箭線D、所有節點編號不能重復
【答案】D
20、關于建筑施工企業勞動用工的說法,錯誤的是()。
A、建筑施工企業應當按照相關規定辦理用工手續,不得使用零散工
B、勞動合同應一式三份,雙方當事人各持一份,勞動者所在工地保留一份備查
C、建筑施工企業與勞動者應當自試用期滿后,按照有關法規簽訂書面勞動合同
D、每個工程項目中作業人員的有關情況應按相關規定如實填報
【答案】C
21、關于建設工程施工現場環境保護措施的說法,正確的是()。
A、工地茶爐不得使用燒煤茶爐
B、經無害化處理后的建筑廢棄殘渣用于士方回填
C、施工現場設置符合規定的裝置用于熔化瀝青
D、嚴格控制噪聲作業,夜間作業將噪聲控制在70dB(A)以下
【答案】B
22、關于網絡計劃中箭線的說法,正確的是()。
A、箭線在網絡計劃中只表示工作
B、新線都要占用時間多數要消耗資源
C、箭線的長度表示工作的持續時間
D、箭線的水平投影方向不能從右往左
【答案】D
23、建設工程項目質量控制體系的建立過程包括:①制定質量控制制度;②編制質量控制計劃;③建立系統質量控制網絡;④分析質量控制界面。正確的程序是()。
A、①②-③-④
B、③-①-④-②
c、③-④-①-②
D、①-③-②-④
【答案】B
24下列溝通過程的要素中,處于主導地位的是()。
A、溝通環境
B、溝通渠道
C、溝通主體
D、溝通客體
【答案】C
25關于建設工程現場文明施工措施的說法,正確的是()。
A、施工現場應設置排水系統,直接排入市政管網
B、一般工地圍擋高度不得低于1、6m
C、施工現場嚴禁設置吸煙處,應設置于生活區
D、施工總平面圖應隨工程實施的不同階段進行調整
【答案】D
26、施工項目年度成本分析的內容,除了月(季)度成本分析的六個方面以外,重點是()。
A、針對下一年度施工進展情況,制定切實可行的成本管理措施
B、通過對技術組織措施執行效果的分析,尋求更加有效的節約途徑
C、通過實際成本與計劃成本的對比,分析成本降低水平
D、通過實際成本與目標成本的對比,分析目標成本控制措施落實情況
【答案】A
27、建筑材料采購合同中應明確結算的()
A、時間、方式和手續
B、地點、時間和人員
C、時間、方式和人員
D、地點、人員和手續
【答案】A28、根據《職業健康安全管理體系要求及使用指南》,屬于運行部分的內容是()
A、管理評審
B、危險源辨識
C、理解組織及其所處的環境
D、應急準備和響應
【答案】D
29、下列施工項目綜合成本的分析方法中,可以全面了解單位工程的成本構成和降低成本來源的是()。
A、分部分項工程成本分析
B、月(季)度成本分析
C、竣工成本的綜合分析
D、年度成本分析
【答案】C
30、關于施工專業分包合同的說法,正確的是()
A、分包合同約定的工程變更調整的合同價款應與工程進度款同期調整支付
B、分包人須服從由發包人直接發出的與分包工程有關的指令
C、承包人要求分包人采取特殊措施保護所增加的費用,由分包人負責
D、分包人不得將勞務作業再分包給具有相應勞務分包資質的勞務分包企業
【答案】A
31、關于施工成本核算的說法,正確的是()。
A、施工成本核算包括四個基本環節
B、施工成本核算應按規定的會計周期進行
C、施工成本核算對象只能是單位工程
D、竣工工程現場成本應由企業財務部門進行核算
【答案】B
32、建設工程管理的核心任務是()
A、項目的目標控制
B、為工程建設和使用增值
C、實現項目建設階段的目標
D、為項目建設的決策或實施提供依據
【答案】B
33、根據《建筑施工組織設計規范》,主持編制施工組織設計的應是()。
A、施工單位技術負責人
B、項目負責人
C、項目總監理工程師
D、項目技術負責人
【答案】B
34、建設工程項目決策階段策劃的主要任務是()
A、確定項目建設的指導思想
B、定義建設項目的建設目標
C、定義項目開發或建設的任務和意義
D、確定項目的開發或建設模式
【答案】C
35、下列施工準備的質量控制工作中,屬于現場施工準備工作的是()
A、組織設計交底
B、細化施工方案
C、復核測量控制點
D、編制作業指導書
【答案】C
36、下列成本管理的職責中,屬于成本會計崗位的是()。
A、每月編制一次材料復核報告
B、制定采用新技術降低成本的措施
C、編制月材料盤點表
D、開具限額領料單
【答案】A
37、下列項目目標動態控制的糾偏措施中,屬于技術措施的是()。
A、優化項目管理任務分工
B、選用高效的施工機具
C、調整項目管理職能分工
D、改變控制的方法和手段
【答案】B
38、某單代號網絡計劃如下圖實踐單位天)計算工期是()天。
A、8
B、13
C、10
D、12
【答案】B
39、關于 FIDIC《施工合同條件》的說法,正確的是()
A、合同計價方式采用單價合同,但也有些子項采用包干單價
B、由業主或業主代表管理合同
C、新紅皮書的應用范圍比原“紅皮書較小
D、“新紅皮書適用于由承包商做絕大部分設計的工程項目
【答案】A
40關于投標申請人資格預審的說法,正確的是()
A、資格預審可以在招標開始之前或者初期進行
B、公開招標只能采用資格預審方式
C、資格預審結果不需要通知所有的投標意向者
D、規定截止日期后,潛在投標人可以根據發包人要求修改資格預審文件
【答案】A
41、某雙代號網絡計劃如下圖所示,存在的不妥之處是()。

A、有多個起點節點
B、工作表示方法不一致
C、節點編號不連續
D、有多余時間參數
【答案】B
42、關于橫道圖進度計劃的說法,正確是()
A、橫道圖中的工作均無機動時間
B、橫道圖中工作的時間參數無法計算
C、計劃的資源需要量無法計算
D、計劃的關鍵工作無法確定
【答案】D
43、某網絡計劃執行情的檢查結果分析如下表,對工作M的判斷分析,正確的是()
A、比G計劃延遲4天,影響緊后工作2天,不影響工期
B、比計劃提前4天,不影響工期
C、比計劃延遲4天,不影響緊后工作,不影響工期
D、比計劃延遲4天,影響工期1天
【答案】A
44、關于進度控制的說法,正確的是()
A、施工方必須在確保工程質量的前提下,控制工程進度
B、進庋控制的目的是實現建設項目的總進度目標
C、各項目管理方進度控制的目標和時間范疇應相同
D、施工方對整個工程項目進度目標的實現具有決定性作用
【答案】A
45、某工程的合同總額為1000萬元,則發包人合理的支付擔保額是()萬元。
A、100
B、500
C、1000
D、200
【答案】D
46、根據《建筑市場誠信行為信息管理辦法》不良行為記錄信息公布期限最短不得少于()個月
A、3
B、6
C、12
D、24
【答案】A
47、關于建設工程項目總進度目標論證的說法,正確的是()
A、已編制總進度規劃的項目,可以不進行總進度目標論證
B、總進度目標論證應涉及工程實施的條件分析及工程實施策劃
C、總進度目標論證時,應論證項目動用后的工作進度
D、總進度目標論證就是論證施工進度目標實現的可能性
【答案】B48、某防水工程施工中出現了設計變更,導致工程量由1600平方米增加到了2400平方米,原定施工工期60天,合同約定工程量增減10%為承包商應承擔的風險,則承包商可索賠工期()天
A、12
B、30
C、24
D、60
【答案】C
49、下列項目管理工具中,服務于項目所有參與單位的是()
A、管理信息系統
B、項目信息門戶
C、項目管理信息系統
D、設施管理信息系統
【答案】B
50、第三方認證機構對認證合格單位質量管理體系維持情況進行定期檢查的頻次通常是()
A、每年兩次
B、兩年一次
C、每年一次
D、一季度一次
【答案】C
51、下列建設工程項目信息中,屬于技術類信息的是()
A、進度控制信息
B、投資控制信息
C、質量控制信息
D、工作量控制信息
【答案】C
52、根據《建筑工程施工質量驗收統一標準》單位工程竣工預驗收的組織方式是()。
A、施工單位項目負責人組織各專業負責人進行
B、建設單位項目負責人組織總監理工程師、專業監理工程師進行
C、總監理工程師組織各專業監理工程師進行
D、總監理工程師組織施工單位項目負責人、專業負責人進行
【答案】C
53、建設工程項目,風險有多種類型,承包方技術管理人員能力欠缺屬于()。
A、組織風險
B、技術風險
C、工程環境風險
D、經濟與管理風險
【答案】A
54、下列組織工具中,反映一個組織系統各項工作之間邏輯關系的是()。
A、項目結構圖
B、組織分工圖
C、工作流程圖
D、組織結構圖
【答案】C
55、某工程混凝士澆筑過程中,因工人直接澆筑高度超出施工方案要求造成質量事故,該事故按照事故責任分類屬于()
A、操作責任事故
B、指導責任事故
C、技術責任事故
D、管理責任事故
【答案】A
56、某工程在地基施工過程中,遇到大量不可預見的地下水承包人處理地下水的費用應該向()索賠
A、勘察單位
B、設計人
C、保險公司
D、發包人
【答案】D57、在建設工程項目施工成本管理的程序中,進行項目過程成本分析的緊后工作是()。
A、編制成本計劃
B、確定項目合同價
C、編制項目成本報告
D、進行項目過程成本考核
【答案】D
58、下列直方圖中,標明施工生產過程處于正常、穩定狀態的是()




【答案】C
59、根據《建設工程項目管理規范》,項目管理實施規劃的編制過程包括①熟悉相關法規和文件②分析項目具體特點和環境條件③履行報批手續④實施編制活動:⑤了解相關方的要求。正確的程序是()。
A、①⑤②③④
B、①②⑤④③
C、⑤②①④③
D、②⑤①③④
【答案】C
60、建設工程項目總承包的基本出發點是借鑒工業生產組織的經驗,實現建設生產過程的()
A、組織扁平化
B、組織標準化
C、組織柔性化
D、組織集成化
【答案】D
61、下列項目策劃工作內容中,屬于實施階段管理策劃的是()
A、項目實施期管理總體方案
B、業主方項目管理組織機構
C、生產運營期設施管理總體方案
D、項目風險管理與工程保險方案
【答案】D
62、關于施工方項目管理目標的說法,正確的是()
A、分包方的成本目標由施工總承包方確定
B、施工總承包方的工期目標和質量目標必須符合合同的要求
C、施工總承包方的成本目標由施工企業根據合同確定
D、與業主方簽訂分包合同的工程,其工期目標和質量目標由分包方負責
【答案】B
63、在成本核算中,應當對可能發生的損失和費用作出合理預計,以增強抵御風險的能力。這體現了成本核算原則的()
A、相關性原則
B、謹慎原則
C、一貫性原則
D、配比原則
【答案】B
64、根據合同風險產生的原因分類,屬于合同程風險的是()
A、非法分包
B、偷工減料
C、物價上漲
D、以次充好
【答案】C
65、建設工程政府質量監督機構履行質量監督職責時,可以采取的措施是()。
A、發現有影響工程質量的問題時,責令改正
B、暫時扣押被檢查單位的固定資產
C、對被檢查單位負責人進行處罰
D、吊銷被檢查單位的資質證書
【答案】A
66、一般情況下,負責特別重大事故調查的人民政府應當自收到事故調查報告之日起()日內作出批復。
A、15
B、30
C、60
D、90
【答案】B
67、工程監理人員在實施監理過程中,發現工程設計不符合工程質量標準或合同約定的質量要求時,應當來取的措施是()
A、要求施工單位報告設計單位改正
B、報告建設單位要求設計單位改正
C、直接與設計單位確認修改工程設計
D、要求設計單位改正并報告建設單位
【答案】B
68、下列質量檢查內容中,可通過目測法中“照"的手段檢查的是()
A、油漆的光滑度
B、內墻抹灰的大面是否平直
C、混凝土的強度是否符合要求
D、管道井內管線、設備安裝質量
【答案】D
69、下列建設工程安全事故中,縣級人民政府可以委托事故發生單位組織事故調查組進行調查的是()。
A、2人輕傷總損失1000萬元
B、1人重傷,直接經濟損失200萬元
C、無傷亡,直接經濟損失1000萬元以下
D、1人輕傷無其他損失
【答案】C
70、根據《建筑工程施工質量驗收統一標準》分項工程質量驗收的組織者是()。
A、項目經理
B、項目技術負責人
C、總監理工程師
D、專業監理工程師
【答案】D

71、下列施工現場噪聲的控制措施中,屬于控制傳播途徑的有()
A、利用多孔材料吸收聲能
B、設置隔聲屏障
C、振動源上涂覆阻尼材料
D、壓縮機風管處設置消聲器E操作人員使用耳塞、耳罩
【答案】ABC
72、某雙代號時標網絡計劃如下圖時間單位天),工作總時差正確的有()。

A、TFAl=0
B、TFA2=1
C、TFA3=2
D、TFcl=2
E、TFB3=1
【答案】ABCE
73、關于工作任務分工和管理職能分工的說法,正確的有()
A、管理職能是由管理過程的多個環節組成
B、管理職能分工表既可用于項目管理,也可用于企業管理。
C、在項目實施的全過程中,應視具體情況對任務分工表進行調整
D、項目各參與方應編制統一的工作任務分管理職能分工管理職能分工表E、編制工作任務分工表前應對項目實施各階段的具體管理工作進行詳細分解
【答案】ABCE
74、項目質量控制體系的運行環境包括()。
A、項目的合同結構
B、質量管理的人員配置
C、質量管理的政府監督制度D、質量管理的物質資源配置E、質量管理的組織制度
【答案】ABDE
75、根據《建筑施工組織設計規范》,施工方案的主要內容包括()。
A、工程概況
B、施工方法及工藝要求
C、施工部署
D、施工現場平面布置
E、施工準備與資源配置計劃
【答案】ABE
76、關于安全技術交底要求的說法,正確的有()
A、必須采用新的安全技術措施
B、必須實行逐級安全技術交底制度
C、定期向多工種交叉施工作業隊伍書面交底
D、必須采用兩階段技術交底
E、保留書面安全技術交底簽字記錄
【答案】BCE
77、鋼筋混凝土構件和允許出現裂縫的預應力混凝土構件進場質量驗收時,應進行的檢驗項目包括()
A、承載力
B、材料性能
C、撓度
D、裂縫寬度
E、外觀質量
【答案】ACD
78、在項目的實施階段,項目總進度應包括()進度
A、設計前準備階段的工作
B、設計工作
C、項目建議書的編制工作
D、招標工作
E、項目動用后的保修工作
【答案】ABD
79、關于施工成本偏差分析表達方法的說法,正確的有()。
A、橫道圖法形象、直觀,一目了然
B、表格法反映的信息量大
C、橫道圖法是最常用的一種方法
D、表格法具有靈活、適用性強的優點
E、曲線法能夠直接用于定量分析
【答案】ABD
80、項目風險評估工作包括()
A、確定各種風險的風險等級
B、分析各種風險的損失量
C、確定風險因素
D、確定應對各種風險的對策
E、分析各種風險因素的發生概率
【答案】ABE
81、某單代號搭接網絡計劃如下圖時間單位天),其時間參數正確的有()。

A、TFc=1
B、FFB=2
C、LSD=8
D、LSE=5
E、LFc=S
【答案】ACDE
82、下列現場文明施工的管理措施中,屬于現場消防、防火管理措施的有()。
A、建立門衛值班管理制度
B、建立消防管埋制度及消防領導小組
C、作業區與生活區必須明顯劃分
D、現場必須有消防平面布置圖
E、對違反消防條例的有關人員進行嚴肅處理
【答案】BDE
83、關于分部分項工程成本分析的說法,正確的有()
A、分部分項工程成本分析的對象為已完分部分項工程
B、分部分項工程成本分析是施工項目成本分析的基礎
C、必須對施工項目的所有分部分項工程進行成本分析
D、主要分部分項工程要做到從開工到竣工進行系統的成本分析
E、分部分項工程成本分析是定期的中間成本分析
【答案】ABD
84、應當及時修訂生產安全事故應急預案的情形有()。
A、依據的上位預案中的有關規定發生重大變化
B、編制人員構成發生重大變化
C、重要應急資源發生重大變化
D、面臨的事故風險發生重大變化
E、應急演練中發現問題需要修訂
【答案】ACDE
85、下列施工作業質量控制點中,屬于“見證點的有()
A、隱蔽工程
B、重要部位施工
C、壓力容器特種作業
D、二次結構砌體施工E、預應力施工工藝
【答案】BCDE
86、按施工成本構成要素分類,應計入企業管理費用的有()。
A、固定資產使用費
B、管理人員工資
C、工具用具使用費
D、材料采購及保管費
E、規費
【答案】ABC
87、關于項目施工總承包模式特點的說法,正確的有()
A、合同價不明確,不利于業主的投資控制
B、業主選擇承包方的招標及合同管理工作量小
C、與平行發包模式相比,組織協調工作量大
D、開工日期不可能太早,建設周期會較長
E、工程質量在很大程度上取決于總承包方的管理水平和技術水平
【答案】BDE
88、下列建設工程項目施工成本費用中,屬于間接成本的有()
A、人工費
B、管埋人員工資
C、辦公費
D、差旅交通費
E、機械費
【答案】BCD
89、關于成本核算方法的說法正確的有()。
A、表格核算法簡單易懂方便操作
B、表格核算法精度不高,實用性較差
C、項目財務部門一般采用表格核算法
D、會計核算法對工程項目內各崗位成本的責任核算比較適用
E、會計核算法科學嚴密,覆蓋面較大
【答案】AE
90、關于工程保險的說法,正確的有()。
A、工程一切險要求投保人以項目法人的名義投
B、國內工程通常由項目法人辦理工程一切險
C、第三者責任險一般附加在工程一切險中
D、承包人設備保險的保險范圍包括準備用于永久工程的設備
E、國內工程開工前均要集中投保工程一切險
【答案】BCD
91、關于合同分析及其作用的說法正確的有()。
A、合同分析要從合同執行的角度去分析
B、合同分析往往由項目經理負責
C、合同分析的目的之一是合同任務分解、落實
D、分析合同中的漏洞,解釋有爭議的內容E、合同分析同招標文件分析的側重點相同
【答案】ACD
92、關于工作最遲完成時間計算的說法,正確的有()。
A、單代號搭接網絡計劃中,等于該工作最早完成時間加上該工作的總時差
B、單代號搭接網絡計劃中,等于各緊后工作最遲開始(或結束)時間減相應時距加該工作持續時間的最小值
C、雙代號網絡計劃中,等于各緊后工作最遲開始時間的最小值
D、雙代號網絡計劃中等于該工作完成節點的最遲時間
E、雙代號時標網絡計劃中,等于該工作實箭頭線結束點應對的時間坐標
【答案】ABC
93、關于施工總承包合同中費用控制條款的說法正確的有()
A、發包人簽發進度款支付證書,表明發包人已接受了承包人完成的相應工作
B、承包人可以使用預付款修建臨時工程、組織施工隊進場
C、發包人在收到預付款催告通知后7天內仍未支付的,承包人有權暫停施工
D、發包人應在進度款支付證書簽發后28天內完成支付E、發包人在工程款中逐期扣回預付款后,預付款擔保額度應相應減少
【答案】CE94、建設工程施工招標應當具備的條件有()
A、有編制招標文件和組織評標的能力
B、招標人已經依法成立
C、有相應資金或資金來源已經落實
D、初步設計及概算應當履行審批程序的,已經批準
E、有招標所需的設計圖紙及技術資料
【答案】BCDE
95、對業主而言,成本加酬金合同的優點有()
A、可以通過分段施工縮短工期
B、便于對工程計劃進行合理安排
C、可以減少承包商的對立情緒
D、可以利用承包商的施工技術專家,幫助彌補設計中的不足
E、通過確定最大保證價格約束工程成本不超過某一限值
【答案】ACDE
96、若承包商未按合同要求實施工程,關于業主向承包商索賠的說法,正確的有()
A、未按合同條件要求,無故不向分包人付款,業主無權進行索賠
B、質量不滿足要求,業主另找公司完成的,只可向承包商索賠成本
C、工程進度太慢,要求承包商趕工時,可索賠業主方工程師的加班費
D、合同工期已到而工程仍未完工,可索賠誤期損害賠償費
E、未按合同要求辦理保險,業主可前去辦理并索賠相應的費用
【答案】CDE
97、下列工程質量事故發生的原因中,屬于技術原因的有()。
A、測設備管理不善造成儀器失準
B、結構設計方案不正確
C、檢驗檢查制度不嚴密
D、監理人員旁站檢驗不到位
E、施工操作人員施工工藝錯誤
【答案】BE
98、某雙代號網絡計劃如下圖(時間單位天)其關鍵工作有()

A、工作3-5
B、工作1-4
C、工作5-9
D、工作7-10
E、工作8-11
【答案】AC
99、下列項目進度控制的措施中,與工程設計技術有關的措施有()。
A、組織工程設計方案的評審與選用
B、分析施工組織設計對進度的影響
C、尋求設計變更加快施工進度的可能
D、重視信息技術在進度控制中的應用
E、改變施工機械設計,提高機械效率
【答案】ACE
100、對某模板工程進行抽樣檢查,發現在表面平整度、截面尺寸、平面水平度、垂直度和標高等方面存在質量問題。按照排列圖法進行統計分析,上述質量問題累計頻率依次為419、79%、89%、98%和100%,需要進行重點管理的A類問題有()
A、平面水平度
B、垂直度
C、標高
D、表面平整度
E、截面尺寸
【答案】DE
整理不易,對各位有幫助的話幫忙點贊,收藏,評論哦!2021年一級建造師《管理》考后真題答案分享,來考網
免責聲明: 本站提供的任何內容版權均屬于相關版權人和權利人,如有侵犯你的版權。 請來信指出,我們將于第一時間刪除! 所有資源均由免費公共網絡整理而來,僅供學習和研究使用。請勿公開發表或 用于商業用途和盈利用途。
本文鏈接:http://m.whxzws.com/yijian/5501.html
發表評論