結構工程師復習,一級注冊結構工程師
一級注冊結構工程師1 復習前的回顧如果你是往屆考生,那么在復習前應仔細回顧去年的復習情況,哪個科目存在不足,哪個科目還。
結構工程師復習計劃專題為大家提供結構工程師復習計劃相關內容的文章,以幫助大家更快的找到所需內容希望豐富的結構工程師復習計劃資訊能快速幫助。
結構工程師考試復習方法 一考題特點 考題的特點是點多面廣時間緊題量大單題分值小 二復習方法 基于這種特點,學習與復習的方法是 1全。
結構工程師考試輔導網站權威提供結構工程師考試輔導,復習資料最新信息結構工程師考試輔導最新更新時間20201012。

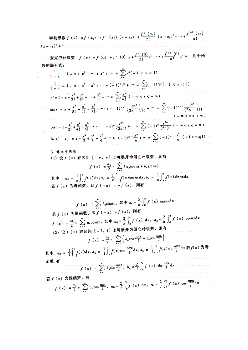
結構工程師考試知識點精要doc,2鋼結構雨凡整理 21計算注意點 1直接承受動力荷載的結構,比如吊車梁,在驗算強度和穩定時考慮動力系數計算。

免責聲明: 本站提供的任何內容版權均屬于相關版權人和權利人,如有侵犯你的版權。 請來信指出,我們將于第一時間刪除! 所有資源均由免費公共網絡整理而來,僅供學習和研究使用。請勿公開發表或 用于商業用途和盈利用途。
本文鏈接:http://m.whxzws.com/jiegou/4291.html
發表評論